الإحصاء: زيادة الكباري من 2370 كوبريًا في 2013 لـ 4159 في 2020
كتب: محمد طلبه
في يوم 2 أغسطس 2022، نشرت وزراة التخطيط والتنمية الاقتصادية المصرية، تقريرًا بشأن مستهدفات قطاع النقل بخطة العام المالي الحالي 2022 – 2023، وأشار التقرير إلى أن قطاع النقل حقق إنجازات ملموسة خلال الأعوام القليلة الماضية، ذكر منها زيادة أطوال شبكة الطُرق الرئيسة بنسبة 112% بين عامي 2013 و2020، وزيادة أعداد الكباري العلوية من 2370 كوبريًا في عام 2013 إلى 4159 كوبريًا في عام 2020.
تقرير وزراة التخطيط المصرية
راجع فريق عمل "تفنيد" جميع إصدرات نشرة "حصر الطُرق والكباري" الخاصة بالجهاز المركزي للتعبئة العامة والإحصاء المصري، والتي بدأت منذ عام 2012.
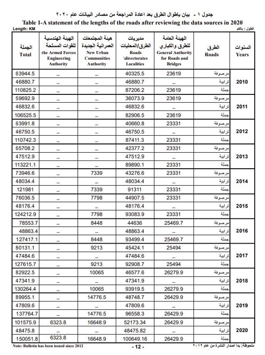
ووجدنا أنه فيما يخص أعداد الكباري كانت الأرقام متقاربة بين تقرير وزارة التخطيط ونشرات الإحصاء، إلا أن نشرة "حصر الطُرق والكباري 2019 - 2020" الصادرة في شهر سبتمبر 2021، احتوت جدولًا بعنوان "بيان بأطوال الطُرق بعد إعادة المراجعة من مصادر البيانات عام 2020" كما هو موضح بالجدول التالي:
نشرة حصر الطرق والكباري 2019 - 2020
رجعنا أيضًا إلى نشرات الأعوام السابقة ووجدنا فروقًا كبيرة بين بيانات أطوال الطُرق "المرصوفة والترابية" في الإصدارات السابقة وبين أحدث إصدار للنشرة، كانت على النحو التالي:
عام 2012:
ذكرت نشرة عام 2012 أن إجمالي أطوال الطُرق "المرصوفة والترابية" بلغ 121.39 ألف كم، فيما ذكرت آخر الإحصائيات أن إجمالي أطوال الطُرق "المرصوفة والترابية" بلغ 110.74 ألاف كم، بفارق نحو 11 ألف كم.
نشرة حصر الطرق والكباري 2012
عام 2013 – 2014:
ذكرت بيانات النشرة للعام 2013 – 2014 أن إجمالي أطوال الطُرق بلغ 163 ألف كم، وذلك خلافًا لبيانات الإحصائيات الأخيرة والتي أشارت إلى أن إجمالي أطوال الطُرق في 2014 بلغ 121.98 ألف كم، بفارق حوالي 41 ألف كم.
نشرة حصر الطرق والكباري 2013 - 2014
عام 2015 – 2016:
أشارت بيانات النشرة لعام 2015 – 2016 إلى أن إجمالي أطوال الطُرق بلغ 179.7 ألف كم، بفارق نحو 53 ألف كم عن بيانات الإصدار الأخير والذي ذكر أن أطوال الطُرق في 2016 بلغت حوالي 127.4 ألف كم.
نشرة حصر الطرق والكباري 2015 - 2016
عام 2017 – 2018:
جاءت بيانات النشرة لعام 2017 – 2018 تُشير إلى أن أطوال الطُرق بلغت 188.2 ألف كم، بفارق نحو 58 ألف كم عن بيانات الإصدار الأخير للنشرة والذي ذكر أن إجمالي أطوال الطُرق في عام 2018 بلغت نحو 130.26 ألف كم.
نشرة حصر الطُرق والكباري 2017 - 2018
جاءت أهمية تتبع البيانات الواردة في تقرير وزارة التخطيط، من كلمة اللواء محمد خيرت بركات، رئيس الجهاز المركزي للتعبئة العامة والإحصاء خلال تقديمه للنشرة، إذ ذكر أن الطرق تعتبر هى شرايين التنمية، ولذلك تعمل الدولة على إحداث نقلة نوعية في مجال إنشاء وتطوير شبكة الطُرق على مستوى الجمهورية للوصول بمستوى جودة الطُرق إلى المقاييس العالمية، وأضاف أن الجهاز يُقدم هذه النشرة لتكون عونًا للباحثين والمهتمين بهذا المجال ومتخذي القرار.
ولأهمية الموضوع قام فريق عمل "تفنيد" بمراجعة الجهاز المركزي للإحصاء للوقوف على أسباب تلك الفروقات الكبيرة في أطوال الطُرق خلال كل إصدارات النشرة السابقة، إلا أننا لم نتلق ردًا من الجهاز حتى كتابة هذا التقرير، ونرجو أن نتلق ردًا يزيل الغموض خاصة لكل من اعتمد على تلك البيانات في أي دراسة أو تقرير يتعلق بهذا المجال.
وإلى حين الإجابة والرد يبقى السؤال مطروحًا، ما هو سبب تلك الفروقات؟ وأين ذهبت هذه الطرق؟
مستهدفات قطاع النقل في الخطة الجديدة:
أعلنت الدكتورة هالة السعيد، وزيرة التخطيط والتنمية الاقتصادية، أن الرؤية التنموية للقطاع تتخطى مجرد تطوير آليات نقل الركاب والبضائع إلى الـمشاركة الفاعلة في ترسيخ مفهوم التنمية الـمستدامة، من خلال توفير نظام نقل يُحقق أهداف التنمية الـمستدامة، ويرتبط ارتباطًا جوهريًا مع مُتطلبات التنمية الاقتصادية والاجتماعية القومية الـمستقبلية، ويُدعّم في الوقت ذاته دور النقل على الـمستوى الإقليمي والدولي.
وأضافت أنه من الـمُقدر أن يبلغ إجمالي الاستثمارات الـمستهدفة لقطاع النقل نحو 307 مليارات جنيه في عام الخطة 2022 - 2023، مُقابل 240.7 مليار جنيهًا في العام السابق 2021 - 2022.
وأشار تقرير وزارة التخطيط إلى الـمستهدفات التنموية للقطاع موضحًا أنه من الـمُستهدف أن يصل إنتاج قطاع النقل بالأسعار الجارية خلال عام 2022 - 2023 إلى 672.4 مليار جنيهًا، مُقارنة بنحو 586.5 مليار جنيهًا في سنة الأساس 2021 – 2022، بنسبة زيادة 14.7%، بينما يستهدف الإنتاج الحقيقي للقطاع زيادة بنسبة 4.8%، حيث من الـمقدر ارتفاعه ليصل إلى 614.6 مليار جنيهًا، وفيما يخص ناتج القطاع، من الـمُستهدف أن يرتفع من 380.6 مليار جنيهًا في عام 2021 - 2022 ليصل إلى 442.4 مليار جنيهًا في عام 2022 - 2023 بالأسعار الجارية، مُحققًا مُعدل نمو 16.2%.
.png)