الكلام اللي سمعوا فيه كل يوم في الإذاعات على الانحباس الحراري، الانحباس الحراري ما تسببناش نحن فيه، إذا كان فما، ثم حتى بنسبة التساقطات الماء موجود توا نمشيو لسد سيدي سالم ولا البربرة الماء موجود، surplus زايد 2 فوق، عدى niveau متاعو والناس عطاشى. يقصد: الكلام الذي نسمعه كل يوم في الإذاعات بخصوص الاحتباس الحراري، لسنا نحن من تسببنا فيه، هذا إن وُجِدَ.. ثم حتى على مستوى نسبة التساقطات، فالماء موجود في سد سيدي سالم أو في سد بربرة الماء موجود وهما ممتلئان زيادة وتعديا طاقتهما بـ2%، ورغم هذا فالناس عطشى.
المدعي : قيس سعيد . الرئيس التونسي (سياسي/مسؤول حكومي )
الادعاء "غير دقيق"، حيث لم يسجل سدا سيدي سالم وبربرة نسبة 102% من طاقتيهما، بل بلغت نسبة امتلاء سد سيدي سالم 23.7% فقط، وسد بربرة 90.7% فقط.
تتبع فريق تفنيد الادعاء الذي أطلقه الرئيس التونسي قيس سعيّد، يوم 30 يوليو 2024، والذي جاء فيه أن منسوب المياه في سدي سيدي سالم وبربرة تجاوز نسبة الامتلاء بـ2%، وتبيّن أنه "غير دقيق"، وفقًا للنشرة اليومية للسدود.
لماذا نتحقق من التصريح؟ لأن إعلان بيانات أو معلومات خاطئة حول شأن عام، يؤثر بشكل سلبي على شرائح الجمهور المرتبطة بهذا الشأن، سواء كان سياسيًا أو اقتصاديًا أو اجتماعيًا أو تنمويًا وغيره من المجالات.
انطلق فريق "تفنيد" في تتبع تصريحات قيس سعيّد بالعودة إلى كميات المخزون ومعدل الفترة في النشرة اليومية للسدود، بتاريخ 30 يوليو 2024، الموافق لتاريخ تصريح الرئيس، وكانت كالتالي:
بحثنا كذلك في نسب امتلاء باقي السدود ولم يُسجل أي منهم نسبة امتلاء 102% التي جاءت في الادعاء، حيث يعتبر سد بربرة هو الأعلى من حيث نسبة الامتلاء؛ وسيدي سالم هو الأعلى من حيث المخزون.
وبلغ المجموع العام لامتلاء كل سدود الجمهورية وفق ذات الوثيقة 26%، بمخزون عام قدره 613,972 مترًا مكعبًا.
النشرة اليومية للسدود في 30 يوليو 2024
في خطوة ثانية اتجهنا للبحث في الأيام السابقة لتاريخ الادعاء عن الرقم 102%، مفترضين أن مصدر الادعاء تاريخ سابق، وبذلك فقد جئنا بالأرقام الخاصة بالفترة بين 25 و29 يوليو 2024.
نشرة السدود ليوم 29 يوليو 2024
نشرة السدود ليوم 28 يوليو 2024
نشرة 27 يوليو 2024
نشرة 26 يوليو 2024
نشرة السدود 25 يوليو 2024
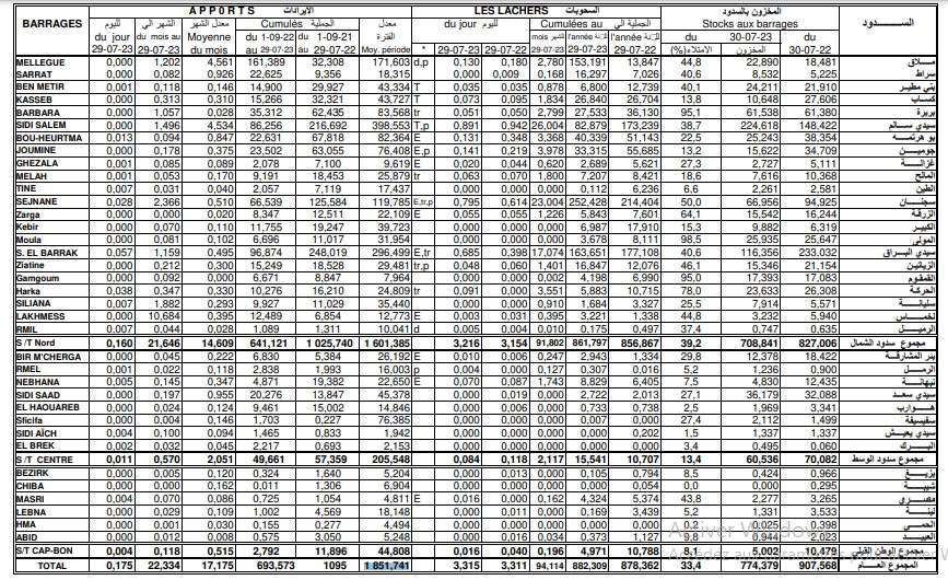
في خطوة أخرى فحص "تفنيد" نشرة السدود بتاريخ 30 يوليو 2023، وتوصل إلى أن نسبة امتلاء سد سيدي سالم بلغت حينها 38.7%، فيما بلغ المخزون 224,618 مترًا مكعبًا، أما معدل الفترة فكان 398,553 مترًا مكعبًا.
وفي سد بربرة بلغت نسبة الامتلاء 95.1% بمخزون 61,538 مترًا مكعبًا، فيما بلغ معدل الفترة 83.568 مترًا مكعبًا، بنسبة امتلاء لكل سدود الجمهورية بلغت خلال ذات اليوم 33.4%، أما معدل الفترة فهو 1.851.741 مترًا مكعبًا.
نشرة السدود 30 يوليو 2023
| نسبة الامتلاء | المخزون | معدل الفترة | |
| سد سيدي سالم | 23.7% | 137,415 | 398,699 |
| سد بربرة | 90.7% | 54.665 | 83,568 |
النشرة اليومية للسدود في 30 يوليو 2024
في خطوة ثانية اتجهنا للبحث في الأيام السابقة لتاريخ الادعاء عن الرقم 102%، مفترضين أن مصدر الادعاء تاريخ سابق، وبذلك فقد جئنا بالأرقام الخاصة بالفترة بين 25 و29 يوليو 2024.
| يوم 29 يوليو 2024 | نسبة الامتلاء | المخزون | معدل الفترة |
| سد سيدي سالم | 23.9% | 138,729 مترًا مكعبًا | 398,553 |
| سد بربرة | 90.8% | 54,958 | 83.568 |
| إجمالي مجموع سدود تونس | 26.3% | 616,917 | 1776.816 |
نشرة السدود ليوم 29 يوليو 2024
| يوم 28 يوليو 2024 | نسبة الامتلاء | المخزون | معدل الفترة |
| سد سيدي سالم | 24.1% | 139,824 | 398,406 |
| سد بربرة | 90.8% | 54,994 | 83,567 |
| إجمالي مجموع سدود تونس | 26.4% | 619,705 | 1.776.266 |
نشرة السدود ليوم 28 يوليو 2024
| يوم 27 يوليو 2024 | نسبة الامتلاء | المخزون | معدل الفترة |
| سد سيدي سالم | 24,3% | 140,919 | 398,260 |
| سد بربرة | 90,9% | 55,031 | 83,566 |
| إجمالي مجموع سدود تونس | 26,5% | 622,437 | 1.775.715 |
نشرة 27 يوليو 2024
| 26 يوليو 2024 | نسبة الامتلاء | المخزون | معدل الفترة |
| سد سيدي سالم | 24.5% | 142,233 | 398,114 |
| سد بربرة | 91.0% | 55,067 | 83,565 |
| إجمالي مجموع سدود تونس | 26.6% | 625,464 | 1.775.165 |
نشرة 26 يوليو 2024
| 25 يوليو 2024 | نسبة الامتلاء | المخزون | معدل الفترة |
| سد سيدي سالم | 24.7% | 143,328 | 397,968 |
| سد بربرة | 91.0% | 55,104 | 83,564 |
| إجمالي مجموع سدود تونس | 26,7% | 627,729 | 1.774.615 |
نشرة السدود 25 يوليو 2024
في خطوة أخرى فحص "تفنيد" نشرة السدود بتاريخ 30 يوليو 2023، وتوصل إلى أن نسبة امتلاء سد سيدي سالم بلغت حينها 38.7%، فيما بلغ المخزون 224,618 مترًا مكعبًا، أما معدل الفترة فكان 398,553 مترًا مكعبًا.
وفي سد بربرة بلغت نسبة الامتلاء 95.1% بمخزون 61,538 مترًا مكعبًا، فيما بلغ معدل الفترة 83.568 مترًا مكعبًا، بنسبة امتلاء لكل سدود الجمهورية بلغت خلال ذات اليوم 33.4%، أما معدل الفترة فهو 1.851.741 مترًا مكعبًا.
نشرة السدود 30 يوليو 2023
الخلاصة: ادعاء الرئيس التونسي بأن كميات المياه في سدي سيدي سالم وبربرة تجاوزت مستواها بـ2% "غير دقيق"، حيث بلغت نسبة امتلاء سد سيدي سالم 23.7% فقط، وسد بربرة 90.7% فقط.
.png)